Index of /NORD_APPCalc/images/calcs/speed/

NameLast ModifiedSize
UpParent Directory
[IMG]gearboxOutputSpd.gif2020-10-21 14:30 2k
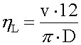
[IMG]linearVelocity.gif2020-10-21 14:30 1k
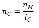
[IMG]rotationalSpeed.gif2020-10-21 14:30 1k
Proudly Served by LiteSpeed Web Server at nordengineeringdatabase.com Port 443